Os Grupos Funcionais Destas Moleculas Sao Representados Pelos Radicais Hidroxila

Odocumento lista e descreveosprincipaisgruposfuncionaisbioquímicos, incluindogruposhidroxila, carbonila, aldeído, cetona, carboxila, éter, amida, amina, dissulfeto, sulfidrila, fosfato, fenol e fenil. Estesgruposfuncionaissãoimportantes para entender asmoléculasorgânicas e como elas podem ter funções diferentes.

Além disso,onúmero degruposOH em uma estrutura é diretamente proporcional à afinidade da água pelamoléculaou vice-versa. Que significa? Por exemplo, emboraoaçúcar tenha uma estrutura de carbono hidrofóbica, seu grande número degruposOHotorna muito solúvel em água.

Hidroxila(-OH) é umgrupofuncional constituído pela ligação covalente entre átomos de oxigênio e de hidrogênio. Ela está presente em bases e em compostos orgânicos. Representação do íonhidroxila(-OH ).

Os Grupos Funcionais Destas Moleculas Sao Representados Pelos Radicais Hidroxila

Quais são os grupos funcionais do DNA? – CorujaSabia

Essasmoléculas, também conhecidas comomoléculasorgânicas,sãotão importantes que a vida não poderia existir sem elas. DNA, proteínas e carboidratossãoexemplos demoléculasorgânicas quesãonecessárias para todososseres vivos. Eogrupohidroxilaé um de seus blocos de construção essenciais.

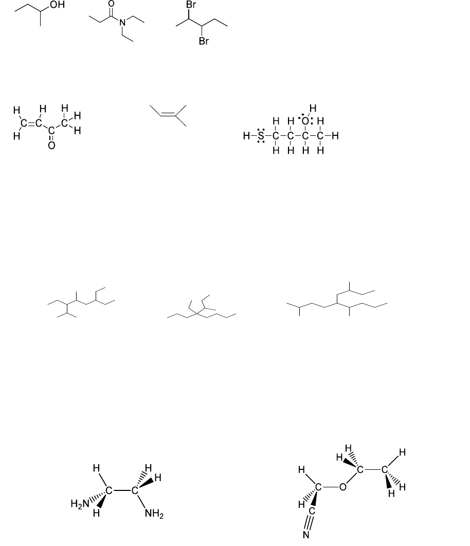
Osgruposfuncionaisdestasmoléculassãorepresentadospelosradicaishidroxila(-OH), sulfidrilas (-SH) e amida (-CONH2). Estesradicaisconferem aos aminoácidos uma maior solubilidade em água pela possibilidade de ligações de hidrogênio. Entreosprincipais representantes destegrupoestãoosaminoácidos: serina, glutamina, asparagina, treonina e cisteína. Marque a alternativa que

Em química, umahidroxilaPB ou hidroxilo PE (também chamada de oxidrila) é umgrupofuncional presente nas bases dos hidróxidos,representadopeloradical OH• e formado por um átomo de hidrogênio e um de oxigênio.

Osgruposfuncionaisdestasmoléculassãorepresentadospelosradicaishidroxila(-OH), sulfidrilas (-SH) e amida (- CONH2). Estesradicaisconferem aos aminoácidos uma maior solubilidade em água pela possibilidade de ligações de hidrogênio. Entreosprincipais representantes destegrupoestãoosaminoácidos: serina, glutamina, asparagina,

Váriosgruposfuncionaispodem se ligar a hidrocarbonetos,oque afeta as propriedades químicas.Osgruposhidroxilasãopolares, transformammoléculasem álcoois e possibilitam àsmoléculasse dissolverem em água.Osgruposcarboxila podem doar íons de hidrogênio, portanto eles tornam asmoléculasácidas.Osgruposamino podem captar íons de hidrogênio do ambiente, dessa maneira

M1 Fundamentos De BioquímicaOsgruposfuncionaisdestasmoléculassãorepresentadospelosradicaishidroxila(-OH), sulfidrilas (-SH) e amida (-CONH2). Estesradicaisconferem aos aminoácidos uma maior solubilidade em água pela possibilidade de ligações de hidrogênio.

Tabela de Grupos Funcionais (Compostos Orgânicos) - Química Orgânica I

Grupos Funcionais De Compostos Organicos Grupos Funcionais Organica

Lista de exercícios - Grupos Funcionais e Representação de moléculas ...

Grupos Funcionais Acidos Q3 4 Grupos Funcionais

For more information, click the button below.

Tags

Author

Sonya

Impulsionado pelo compromisso com a educação no ambiente escolar, construí minha trajetória com o objetivo de ampliar as oportunidades de aprendizagem e gerar impactos positivos para estudantes, educadores e comunidades escolares. Ao articular princípios pedagógicos, experiência cotidiana em sala de aula e diálogo contínuo, desenvolvo práticas educacionais inovadoras, inclusivas e aplicáveis, que respeitam a diversidade dos modos de aprender e respondem às necessidades reais da escola - ws.broadcast.editee.com.